Justin Pearson's CCUT Portfolio
Signature Page
My Teaching Philosophy
Serve as a Teaching Assistant
Executive Summary
TA Training and Consultation
Course Descriptions
ESCI Teaching Evaluations
Conclusion
Teaching through Outreach
Executive Summary
Description of SST
Course Design and Reflection
Student Feedback
Conclusion
Technology in Teaching
Executive Summary
My online course: “Skills for Thinking Technically”
Conclusion
Teach a University Course
Executive Summary
Course Background
Course Design (Syllabus analysis)
ESCI Teaching Evaluations
Conclusion
Conclusion
A1: Annotated Syllabus
A2: TA Video Consultation
A3: Letter of Rec
A4: TA Evaluations
A5: Teaching Evaluations
A6: Student Feedback
A7: Bloom’s Taxomony of Educational Objectives
A8: GauchoCast viewing analysis
Justin Pearson's CCUT Portfolio
Docs
»
A4: TA Evaluations
View page source
A4: TA Evaluations
¶
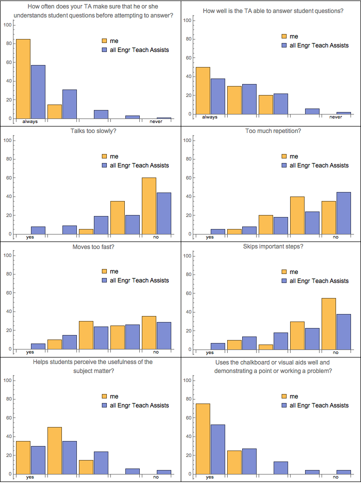
From my ESCI Teaching Evaluations when I served as a teaching assistant for ENGR 3 in Summer 2014.